備忘ログ

チラシの裏的備忘録&メモ

dplyr

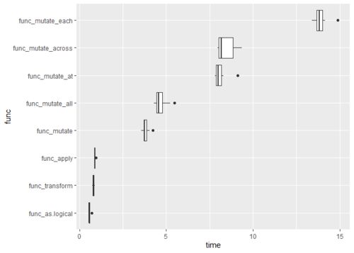
dplyrのmutateってちょっと遅い?

{dplyr}が1.0.0になってacrossが追加されて、*_atや*_all、*_eachがじゃなくてもacrossでやる風潮(?)になって、(もう1.0.2だけど今更)便利だなぁと{dplyr}で遊んでいたら(前々から思っていたけど)*_eachが実は体感できるレベルで一瞬待たされることに…

Rでdplyrをつかって任意の列の列名を変更する方法

dplyrで列名を変更する dplyr::selectでできらぁ dplyr::renameでできらぁ おまけ dplyrで列名を変更する Rでdplyrパッケージで用意されているdplyr::selectやdplyr::renameをつかってデータフレームの任意の列の列名を書き換えてみる。 ときどき忘れちゃう…